Fiche Produit : Analyseur d’Efficacité Énergétique des Panneaux Solaires
📊 **Fonctionnalités Principales**
1. **Simulation de Performance en Temps Réel**
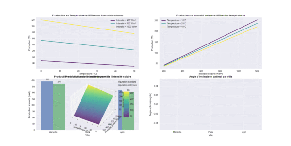
– Modélise la production d’énergie solaire selon les conditions météorologiques
– Calcule instantanément la puissance générée en fonction de la température et de l’ensoleillement
– Prend en compte l’angle d’incidence des rayons solaires pour une précision optimale
2. **Optimisation Intelligente d’Installation**
– Détermine l’angle d’inclinaison idéal pour maximiser la production annuelle
– Compare différentes configurations (standard vs optimisée)
– Calcule le gain potentiel de production selon la localisation géographique
3. **Analyse Comparative Multi-Sites**
– Évalue les performances pour différentes villes (Marseille, Paris, Lyon)
– Adapte les calculs selon la latitude et le climat local
– Fournit des recommandations personnalisées par région
4. **Visualisation Avancée des Données**
– Graphiques 2D et 3D interactifs montrant les relations entre paramètres
– Comparaisons visuelles des performances sous différentes conditions
– Histogrammes comparatifs pour l’analyse multi-scénarios
🎯 **Applications Concrètes**
Pour les **Particuliers**
– Estime la production annuelle de votre installation solaire
– Détermine l’orientation optimale de vos panneaux
– Évalue la rentabilité selon votre localisation
Pour les **Professionnels**
– Compare les performances sur différents sites d’installation
– Optimise la conception de systèmes solaires
– Génère des rapports techniques détaillés pour les clients
Pour les **Étudiants/Formateurs**
– Outil pédagogique pour comprendre la physique du solaire
– Visualisation des effets de la température et de l’ensoleillement
– Support pour projets académiques en énergies renouvelables
📈 **Résultats Fournis**
**Données Quantitatives**
– Production énergétique en Watts et kWh annuels
– Angles d’orientation optimaux en degrés
– Pourcentage d’amélioration par optimisation
**Recommandations Pratiques**
– Meilleur angle d’inclinaison selon la latitude
– Impact estimé des conditions climatiques
– Stratégies d’optimisation spécifiques
**Comparaisons**
– Performance relative entre différentes villes
– Analyse coûts-bénéfices de l’optimisation
– Sensibilité aux paramètres environnementaux
🔧 **Utilisation Typique**
1. **Configuration** : Définir les caractéristiques du panneau solaire
2. **Simulation** : Lancer l’analyse pour différentes conditions
3. **Optimisation** : Obtenir les paramètres idéaux d’installation
4. **Visualisation** : Analyser les résultats via graphiques interactifs
5. **Décision** : Utiliser les recommandations pour l’installation réelle
💡 **Valeur Ajoutée**
– **Précision** : Modèle physique réaliste basé sur des paramètres techniques
– **Pratique** : Résultats directement utilisables pour les installations
– **Pédagogique** : Visualisations claires pour la compréhension
– **Polyvalent** : Adaptable à différents contextes géographiques
*Cet outil transforme des données techniques complexes en recommandations pratiques pour optimiser concrètement la production d’énergie solaire.*






Avis
Il n’y a pas encore d’avis.